Ответы
Ответ дал:
0
4 в 3тей
10 в 3 тей
5 во 2ой
3 во 2ой
2 в 3 тей
6 во 2ой
Ответ дал:
0
можешь нормальные объяснить? я тупой
Ответ дал:
0
1. Х=147
2. Х= 109
3. У=428
4. А=494
2. Х= 109
3. У=428
4. А=494
Ответ дал:
0
ну и тебе спасибо
Ответ дал:
0
Понял? Или разобрать?
Ответ дал:
0
понял
Ответ дал:
0
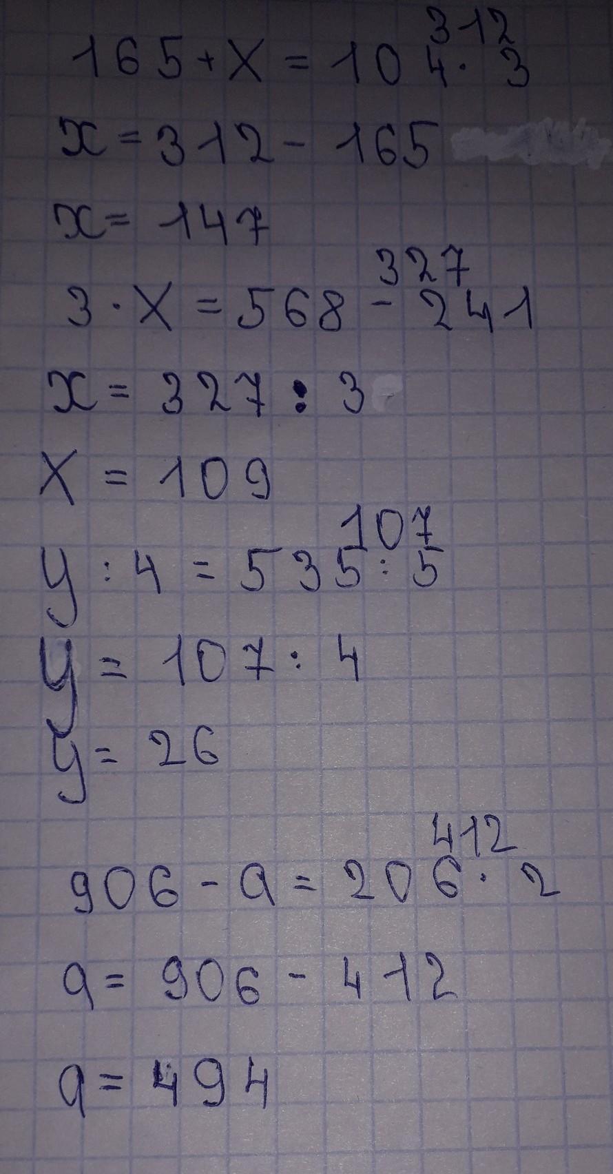
Вот так получилось)))
Приложения:

Ответ дал:
0
там только три уравнения?
Ответ дал:
0
просто не понятно
Ответ дал:
0
Всё понял спасибо)
Вас заинтересует
2 года назад
2 года назад
3 года назад
8 лет назад
9 лет назад
9 лет назад