• Предмет: Математика
  • Автор: bts1965
  • Вопрос задан 8 лет назад

Помогите решить пожалуйста

Приложения:

Ответы

Ответ дал: dariac2911
0

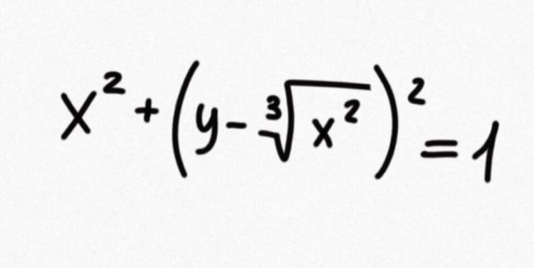
x^{2}  + (y -  sqrt[3]{x^{2} } )^{2}  = 1

x^{2}  + y^{2} - 2y sqrt[3]{x^{2} }  +  sqrt[3]{(x^{2)^{2} } }  + 1

x {}^{2}  + y {}^{2}  - 2y sqrt[3]{x {}^{2} }  + sqrt[3]{x {}^{4} }  + 1

x {}^{2}  + y {}^{2}  - 2y sqrt[3]{x {}^{2} }  + x sqrt[3]{x}  + 1

Вас заинтересует