• Предмет: Алгебра
  • Автор: a5ttt
  • Вопрос задан 8 лет назад

ПОМОГИТЕ ПОЖАЛУЙСТА ,решить уравнение

Приложения:

Ответы

Ответ дал: sangers1959
0

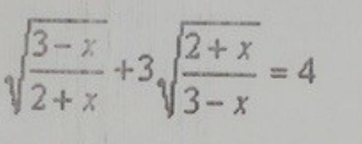
√((3-x)/(2+x))+3*√((2+x)/(3-x))=4

ОДЗ: 2+x≠0   x≠-2     3-x≠0    x≠3    

(3-x)/(2+x)≥0    3-x≥0     x≤3    ⇒    x<3

2+x/(3-x)≥0      2+x≥0    x≥-2    ⇒    x>-2    ⇒   x∈(-2;3).

Пусть √((3-x)/(2+x))=t    ⇒

t+3/t=4

t²+3=4t

t²-4t+3=0    D=4     √D=2

t₁=√((3-x)/(2+x))=3      

(√((3-x)/(2+x)))²=3²

(3-x)/(2+x)=9

3-x=9*(2+x)

3-x=18+9x

10x=-15  |÷10

x₁=-1,5 ∈ ОДЗ.

t₂=((3-x)/(2+x))=1

(√((3-x)/(2+x)))²=1²

(3-x)/(2+x)=1

3-x=2+x

2x=1  |÷2

x₂=0,5 ∈ ОДЗ.

Ответ: x₁=-1,5    x₂=0,5.

Вас заинтересует