• Предмет: Математика
  • Автор: Bronzor1
  • Вопрос задан 8 лет назад

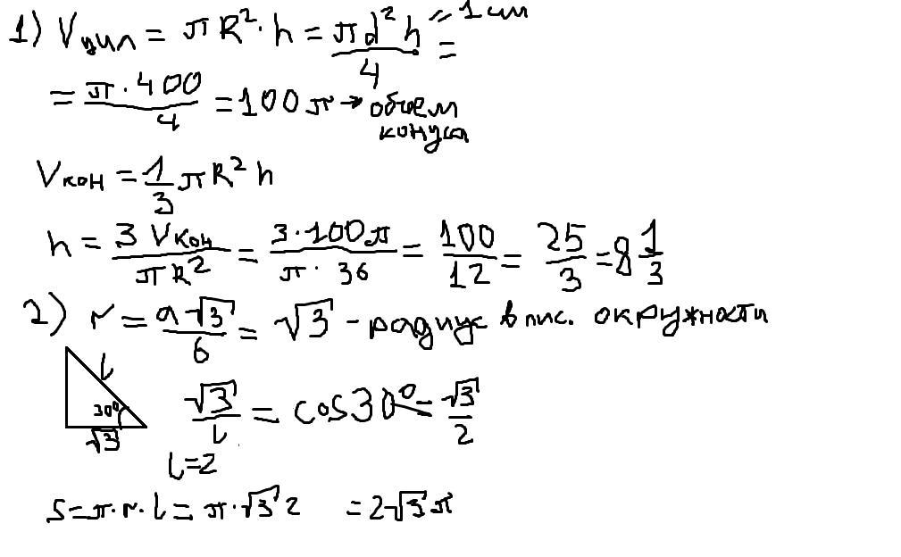
1) В цилиндрический сосуд с водой и диаметром 20 см, поместили конусовидную деталь, радиус основания которой 6 см(Деталь полностью погружена в воду). Уровень воды поднялся на 1 см. Вычислите высоту детали.
2) Правильная треугольная пирамида, сторона основания которой 6 см и двугранный угол при основании равен 30 градусов, описан вокруг конуса. Вычислите площадь боковых сторон конуса.

Ответы

Ответ дал: solving05
0

Ответ:

Пошаговое объяснение:

Решение приводится в приложении

Приложения:
Ответ дал: Bronzor1
0
2 задача:
Ответ дал: Bronzor1
0
Синус это же отношение противолежащего катета к гипотенузе, а у нас дан прилежащий катет значит там косинус должен быть?
Ответ дал: solving05
0
да, тогда косинус
Ответ дал: solving05
0
исправил
Вас заинтересует