• Предмет: Алгебра
  • Автор: Kosmambetaliya
  • Вопрос задан 8 лет назад

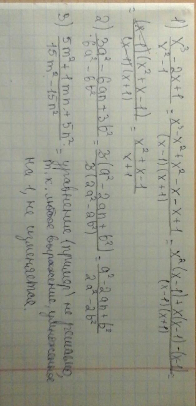
сократите дробь
1)x^3-2x+1/x^2-1
2)3a^2-6an+3b2/6a^2-6b^2
3)5m^2+1mn+5n^2/15m^2-15n^2

Ответы

Ответ дал: people201941
0

Последний пример решить не возможно

Приложения:
Вас заинтересует