• Предмет: Алгебра
  • Автор: a5ttt
  • Вопрос задан 8 лет назад

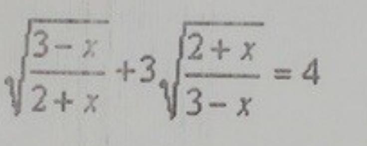
ПОМОГИТЕ ПОЖАЛУЙСТА ,решить уравнение

Приложения:

Ответы

Ответ дал: valenivan
0

Решение задания приложено

Если без ОДЗ, то проверка обязательна.

Приложения:
Ответ дал: a5ttt
0
это точно правильно?
Ответ дал: Аноним
0
Да, точно.
Ответ дал: a5ttt
0
спасибо)
Ответ дал: valenivan
0
Если проверка показала, что корни найдены верно, то решение верно. Оно может двумя способами. Второй вам предоставили.
Ответ дал: Аноним
0

sqrt{frac{3-x}{2+x}} + 3sqrt{frac{2+x}{3-x}} = 4

Введём замену: t = frac{3-x}{2+x}

sqrt{t} + 3sqrt{frac{1}{t}} = 4

Возведём обе части уравнения в квадрат:

t + 6 + frac{9}{t} = 16\t + 6 + frac{9}{t} - 16 = 0\t - 10 + frac{9}{t} = 0

Приводим к одному знаменателю:

frac{t^{2} - 10t + 9}{t} = 0\tneq 0\t^{2} - 10t + 9 = 0\\left {{t_{1}{t_{2} = 9} atop {{t_{1} +{t_{2} = 10} right.\\t = 1\t = 9

По теореме Виета найдены два корня уравнения.

Вернёмся к исходной переменной:

frac{3-x}{2+x} = 1

frac{3-x}{2+x} = 9

Решаем два последних уравнения.

frac{3-x}{2+x} = 1\ 3-x = 2+x\- x - x = 2 -3\-2x = -1\x = 0,5\\\frac{3-x}{2+x} = 9\3-x = 9(2+x)\3-x = 18+9x\-x-9x = 18 -3\-10x = 15\x = -1,5

Уравнение решено.

Ответ: x = 0,5; x = -1,5.

Приложения:
Ответ дал: a5ttt
0
спасибо)
Вас заинтересует