• Предмет: Алгебра
  • Автор: edvardelricl1337
  • Вопрос задан 8 лет назад

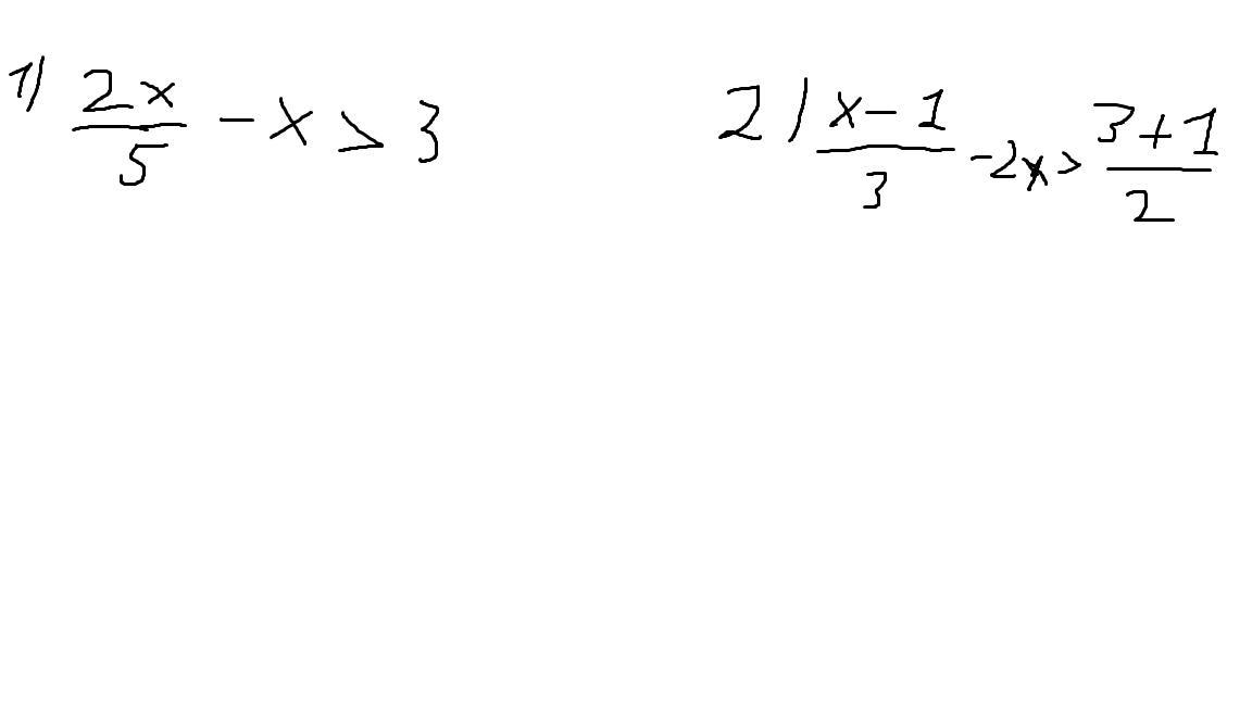
решите неравенства,срочно !!!!!

Пожалуйста
во втором уравнение после знака >3x а не 3

Приложения:

Ответы

Ответ дал: dandas2000
0

1)2x - 5x > 15 \  - 3x > 15 \ x <  - 5

2) - 10x - 2 > 9 x + 3 \  - 19x > 5 \ x <  -  frac{5}{19}

Пояснение:

1) Домножаем на 5, чтобы избавиться от знаменателя

2) Домножаем на 6

Вас заинтересует