Ответы
Ответ дал:
0
Ответ:
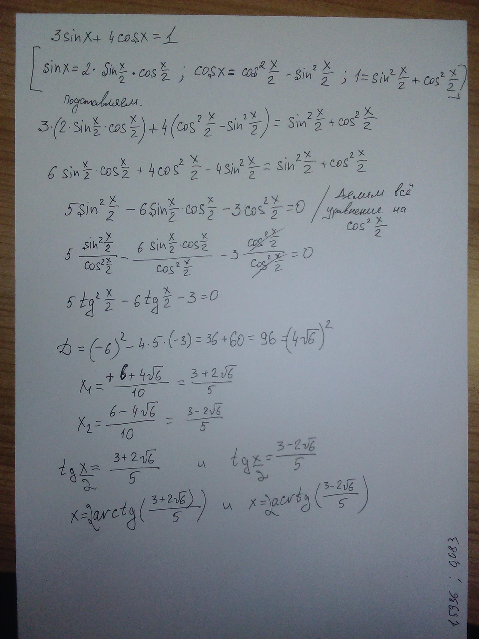
обычно дают задачи, чтобы на выходе четкие числа получались, но это не в вашем случае...
Пошаговое объяснение:
Приложения:

Ответ дал:
0
СПАСИБО
Вас заинтересует
2 года назад
3 года назад
3 года назад
8 лет назад
8 лет назад
9 лет назад