• Предмет: Математика
  • Автор: dilnozaa63
  • Вопрос задан 8 лет назад

Как это решать? пожалуйста подскажите ответы и путь к решенью ​

Приложения:

Ответы

Ответ дал: 1grom9
0

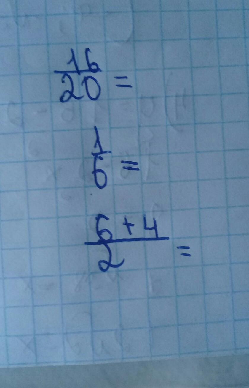
 frac{16}{20}  =  frac{16 div 4}{20 div 4}  =  frac{4}{5}

___________________

 frac{1}{6}  = frac{1}{6}

В данном случае дробь сократить невозможно!

___________________

 frac{6 + 4}{2}  =  frac{10}{2}  =  frac{10 div 2}{2 div 2}  =  frac{5}{1}  = 5

___________________

Вас заинтересует