Ответы
Ответ дал:
0
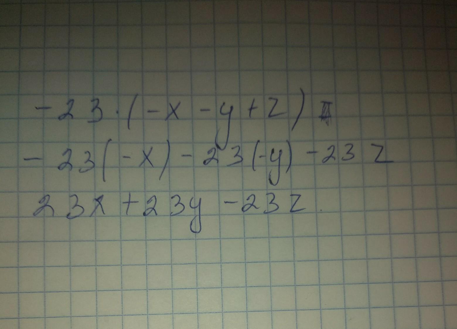
-23(-x-y+z)
-23(-x)-23(-y)-23z
23x+23y-23z
Приложения:

Вас заинтересует
2 года назад
2 года назад
3 года назад
8 лет назад
8 лет назад
9 лет назад