• Предмет: Математика
  • Автор: igorgryn446
  • Вопрос задан 8 лет назад

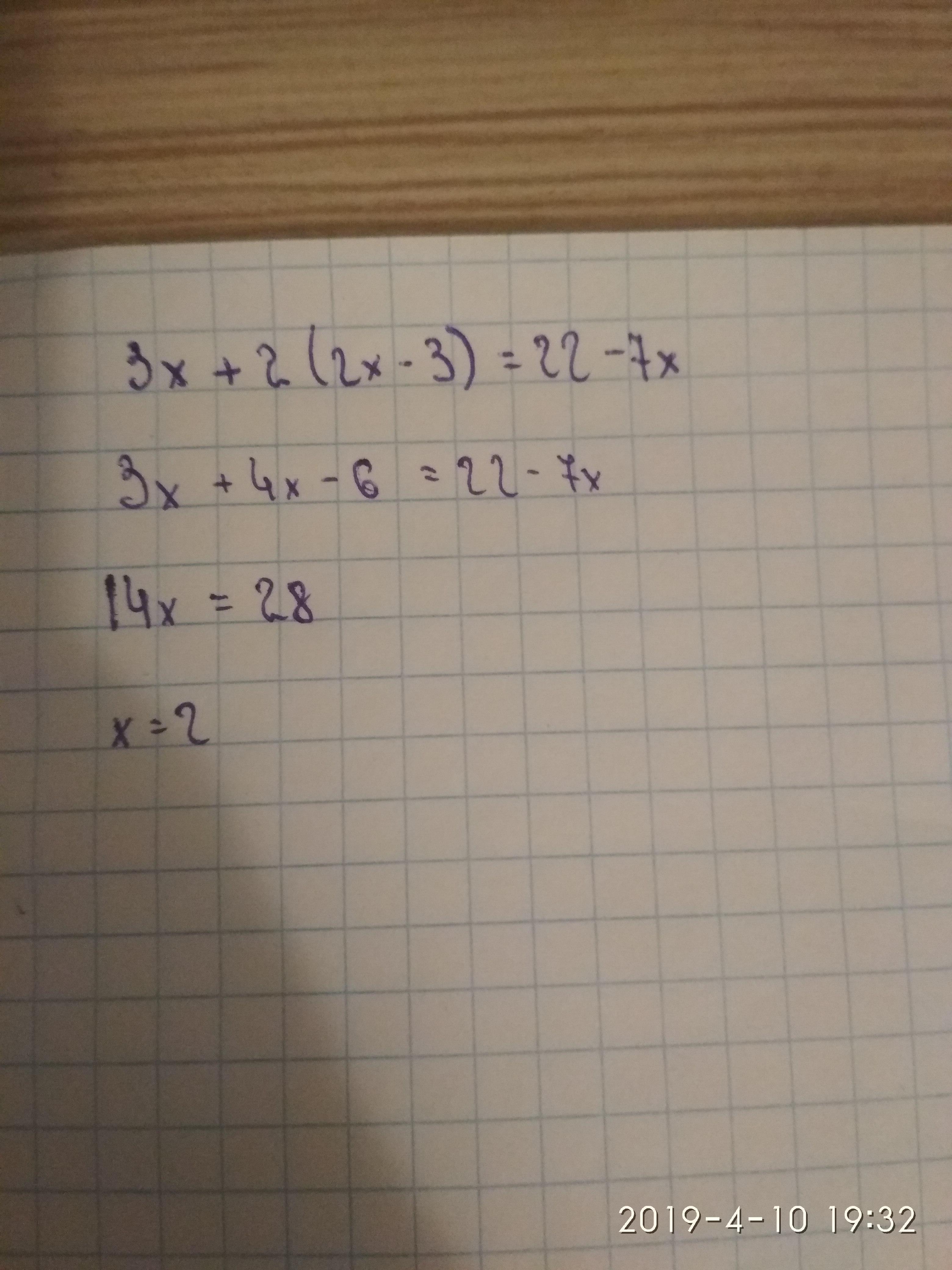
3x+2(2x-3)=22-7x

Помогите

Ответы

Ответ дал: Karinafedo
0

Ответ:

Пошаговое объяснение:

Приложения:
Ответ дал: Аноним
0

3х + 2(2х-3) = 22 - 7х

3х + 4х - 6 = 22 - 7х

- 7х - 3х - 4х = 22+6

- 14х = 28

х = - 28/14

х = - 2

Ответ : - 2

Приложения:
Ответ дал: Infalible
0
Добрый вечер! Помогите пожалуйста https://znanija.com/task/32144357
Вас заинтересует