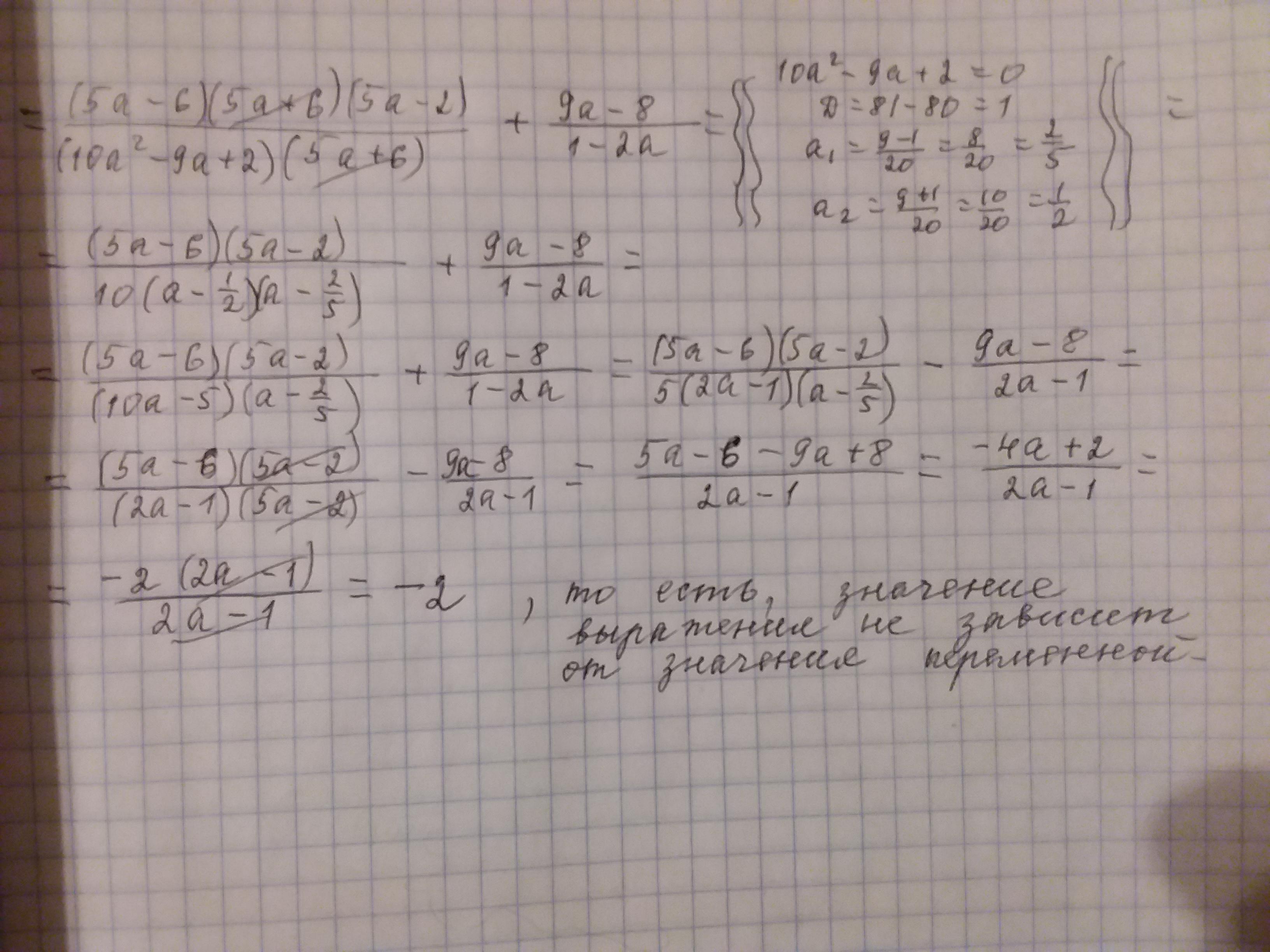
Докажите, что при всех допустимых значениях a значение выражения не зависит от значения переменной... пожалуйста
Приложения:

Ответы
Ответ дал:
0
на фото................
Приложения:

Вас заинтересует
2 года назад
2 года назад
3 года назад
3 года назад
8 лет назад
9 лет назад