Даю 20 баллов ,объясните тему по информатике.Арифметика в системах счисления,можете подробно расписать
например вот
Приложения:

Ответы
Ответ дал:
0
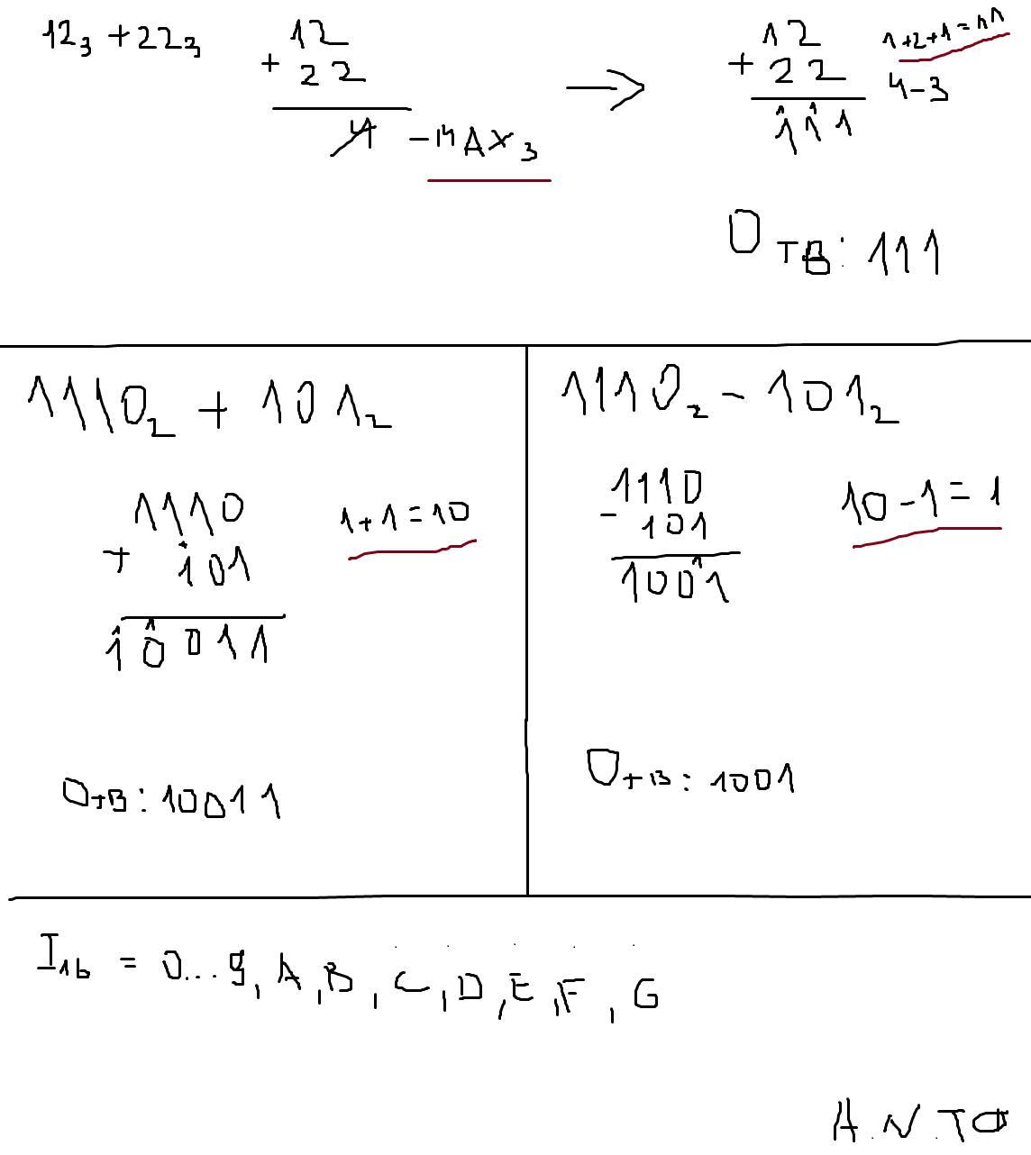
Все объяснил, все показал, примеры сделал. Надеюсь, Вы поймете.
Там если корявенько, то скажите, я подправлю.
Удачи!
Приложения:


Ответ дал:
0
хорошо)
Ответ дал:
0
Отписался. Но для тебя это пока слишком сложно, научись хотя-бы в двоичной складывать и вычитать. А потом уже в остальных. И переводить.
Кстати, название счисления исходит с нуля: 0,1,2 - троичная, 0,1 - двоичная
Кстати, название счисления исходит с нуля: 0,1,2 - троичная, 0,1 - двоичная
Ответ дал:
0
но мы просто в шк проходим,завтра 100% тест устроит
Ответ дал:
0
Я не могу оставлять ссылку на сайт. Все-равно кроме меня из топа щас никто не онлайн, так что лучше всего забей тему в интернете, там все понятно объясняется. По другому никак. Нас, по крайней мере. не заставляли вычитать троичную, восьмеричную и.т.д.
Но я скажу лайфхак: вычитание в системе счисления следующим образом: берешь число в восьмеричной, например, переводишь в десятеричную, делаешь то же со 2 числом, вычисляешь в знакомой системе, затем переводишь с нужную.
Но я скажу лайфхак: вычитание в системе счисления следующим образом: берешь число в восьмеричной, например, переводишь в десятеричную, делаешь то же со 2 числом, вычисляешь в знакомой системе, затем переводишь с нужную.
Ответ дал:
0
Надеюсь, это тебе поможет
Вас заинтересует
2 года назад
2 года назад
3 года назад
8 лет назад
8 лет назад
9 лет назад