• Предмет: Математика
  • Автор: isabella2002
  • Вопрос задан 8 лет назад

Дайте пожалуйста развёрнутый ответ

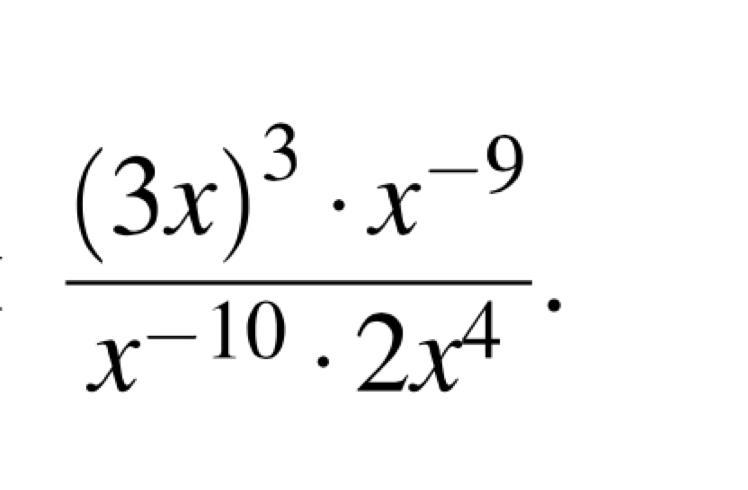
Приложения:

Ответы

Ответ дал: tatsach
0

Ответ:

Пошаговое объяснение:

Приложения:
Вас заинтересует