• Предмет: Математика
  • Автор: Zavoevatel771
  • Вопрос задан 8 лет назад

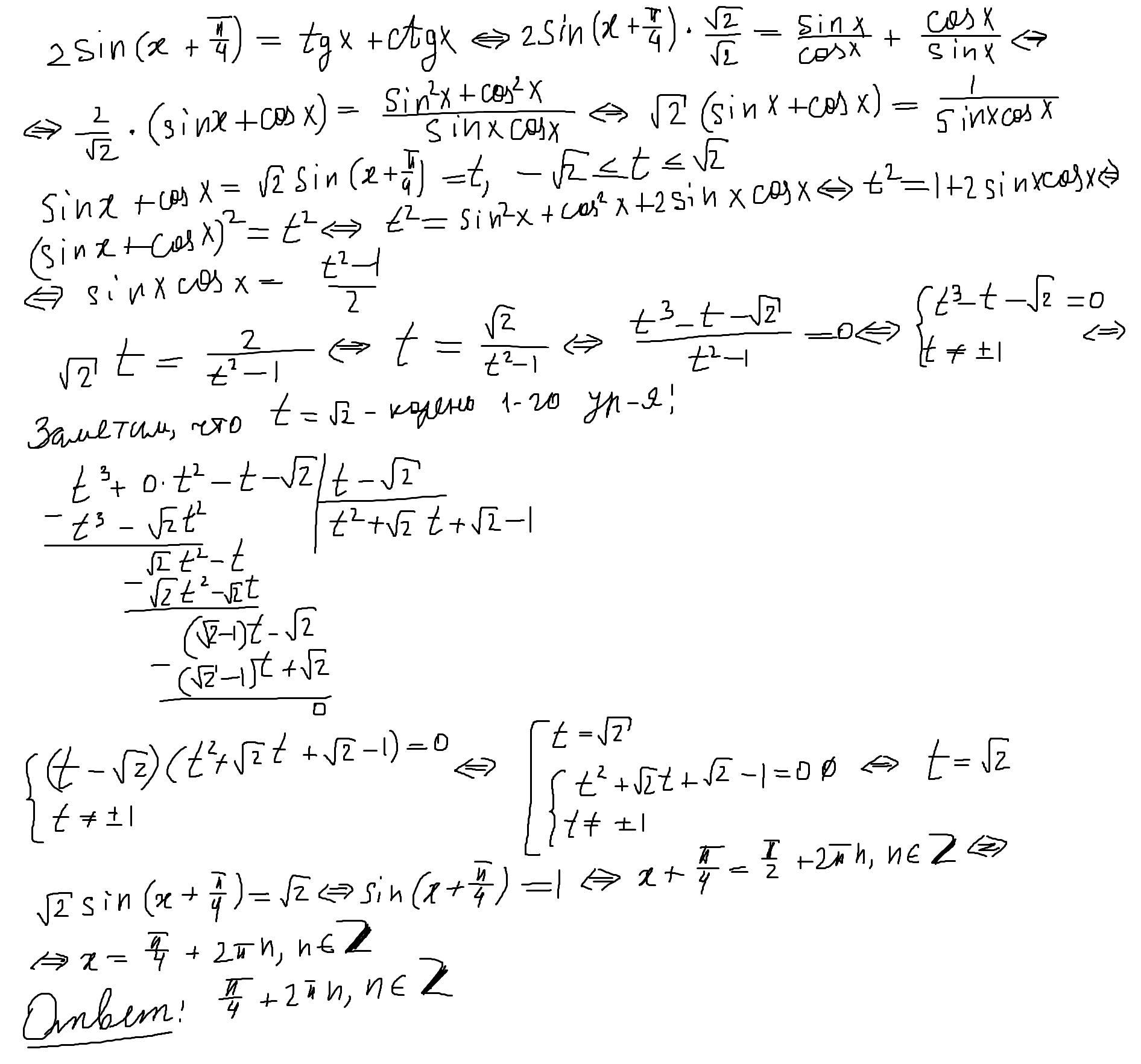
Уравнение 2sin(x+pi/4)=tgx+ctgx. Помогите решить, пожалуйста.

Ответы

Ответ дал: GeniusEnstein
0

Решение ниже на картинке

Приложения:
Ответ дал: trinaldo
0
от куда появился корень из 2/корень из 2? Для чего ты вписал его?
Ответ дал: GeniusEnstein
0
домножил для того, чтобы применить формулу sqrt(2)sin(x+pi/4)=sinx+cosx (ну а разделил, чтобы равенство сохранилось)
Вас заинтересует