админы, удалите этот вопрос, я ошибся по баллам . решите логорифмическое неравенство, 15ый номер егэ, 50 баллов
Приложения:

Ответы
Ответ дал:
0
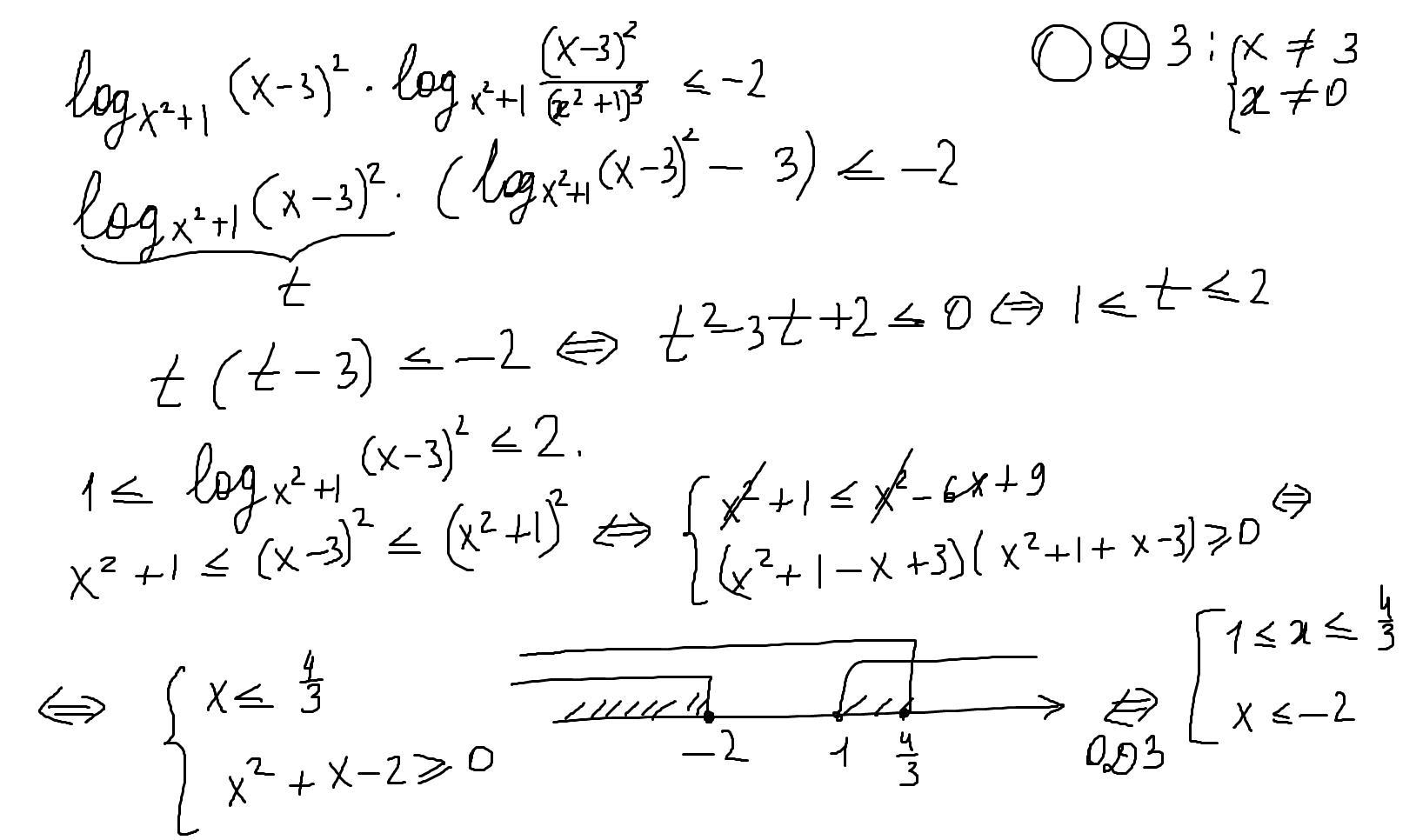
Решение на картинке снизу
Приложения:

Вас заинтересует
2 года назад
2 года назад
3 года назад
3 года назад
8 лет назад
9 лет назад