Ответы
Ответ дал:
0
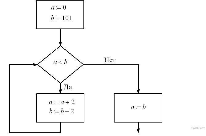
Ответ: a = 49 тк программа прерывается на 26 цикле : a = 52, b = 49
потому что на по правилу a<b =} 52<49 не работает и поэтому значение a присвоит значение b тогда a=b=49
Вас заинтересует
2 года назад
2 года назад
3 года назад
3 года назад
9 лет назад
9 лет назад
10 лет назад
10 лет назад