Ответы
Ответ дал:
0
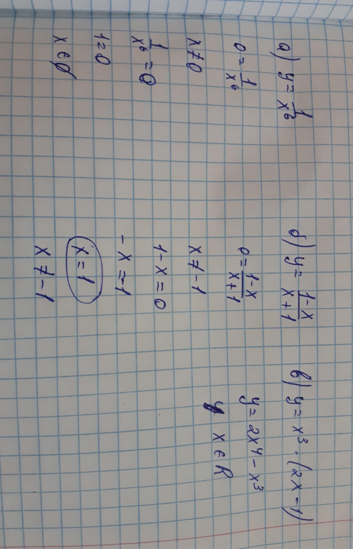
ппприььиитьтииииирррр
Приложения:

Ответ дал:
0
Там не так нужно было решать, но всё равно спасибо)
Вас заинтересует
2 года назад
2 года назад
3 года назад
8 лет назад
8 лет назад