• Предмет: Алгебра
  • Автор: antonovarsenii
  • Вопрос задан 8 лет назад

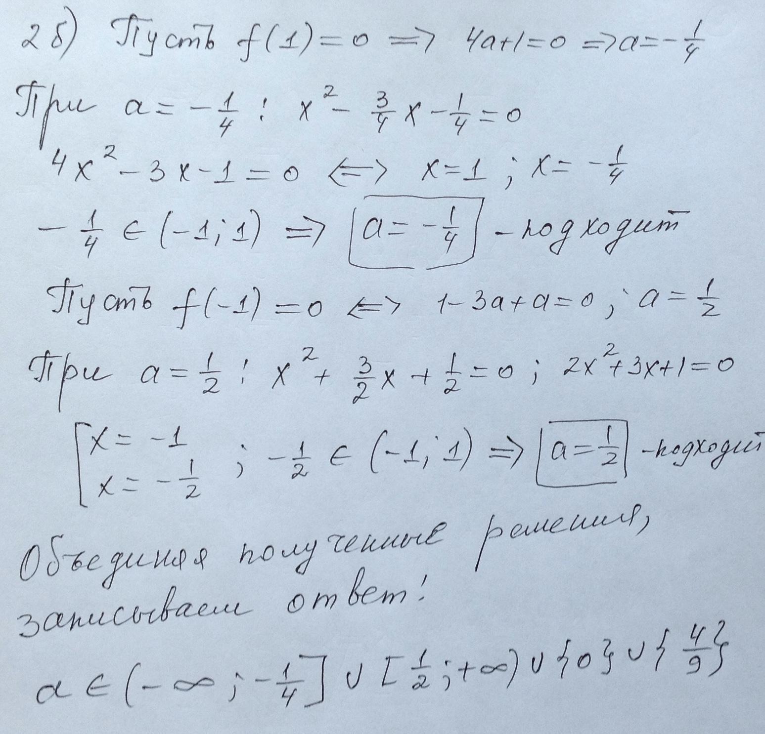
Найдите все значения "a" при которых уравнение

((x^2)-3ax-a)^2=2x^4+2a^2*(3x+1)^2

Имеет единственный корень на интервале (-1;1)

Приложения:

Ответы

Ответ дал: antonovm
0

Ответ:

Объяснение:  

Обратите внимание : если один из корней равен 1 или -1  при

некотором  а , то это а является решением , если второй

корень входит в ( -1 ; 1 ) ,  так  как  уравнение решаем на

интервале

Приложения:
Ответ дал: CKyTepucT
0
Здравствуйте, можете мне помочь завтра с самостоятельной работой по производным? Не за бесплатно, заплачу сколько скажите. Напишите свои контакты, я вам отпишу. Вайбер, вк или ватс апп
Вас заинтересует