Ответы
Ответ дал:
0
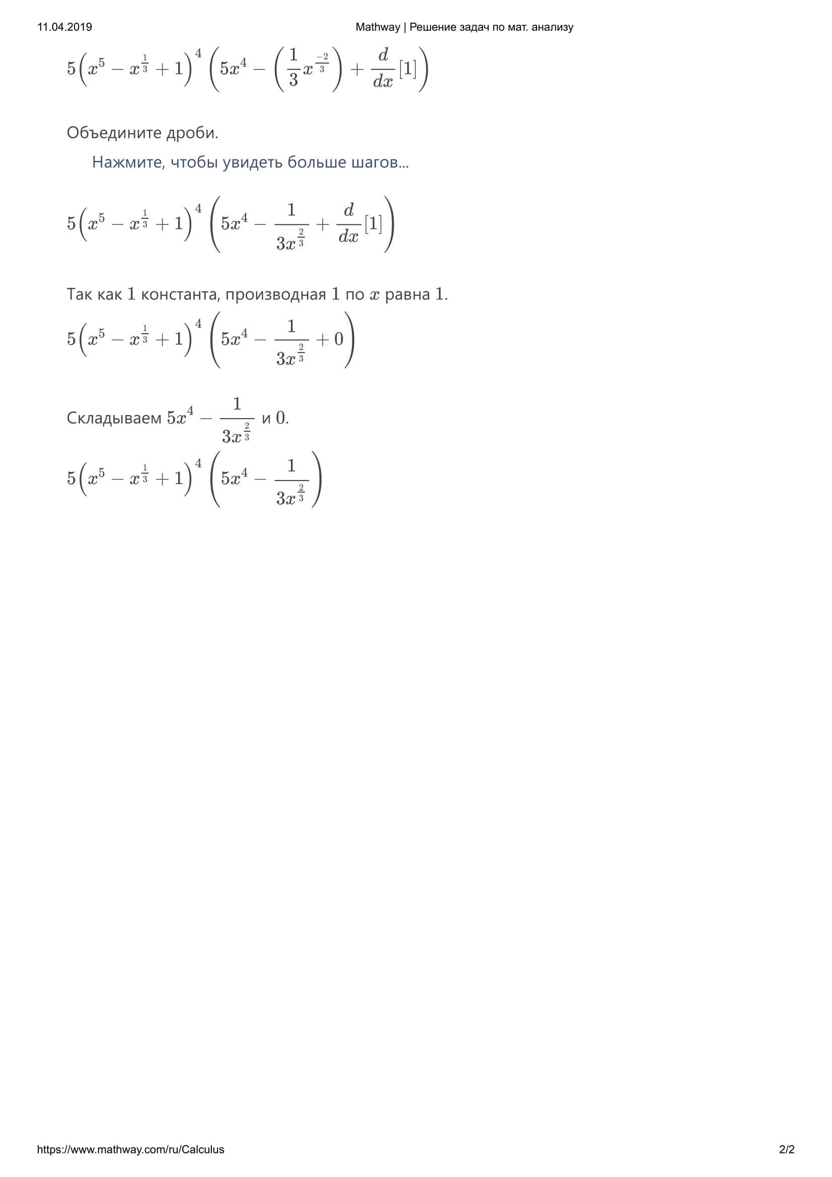
Ответ на рисунке
Прошу отметить как лучшее
Приложения:


Вас заинтересует
2 года назад
3 года назад
8 лет назад
9 лет назад