• Предмет: Химия
  • Автор: Mmilanio
  • Вопрос задан 8 лет назад

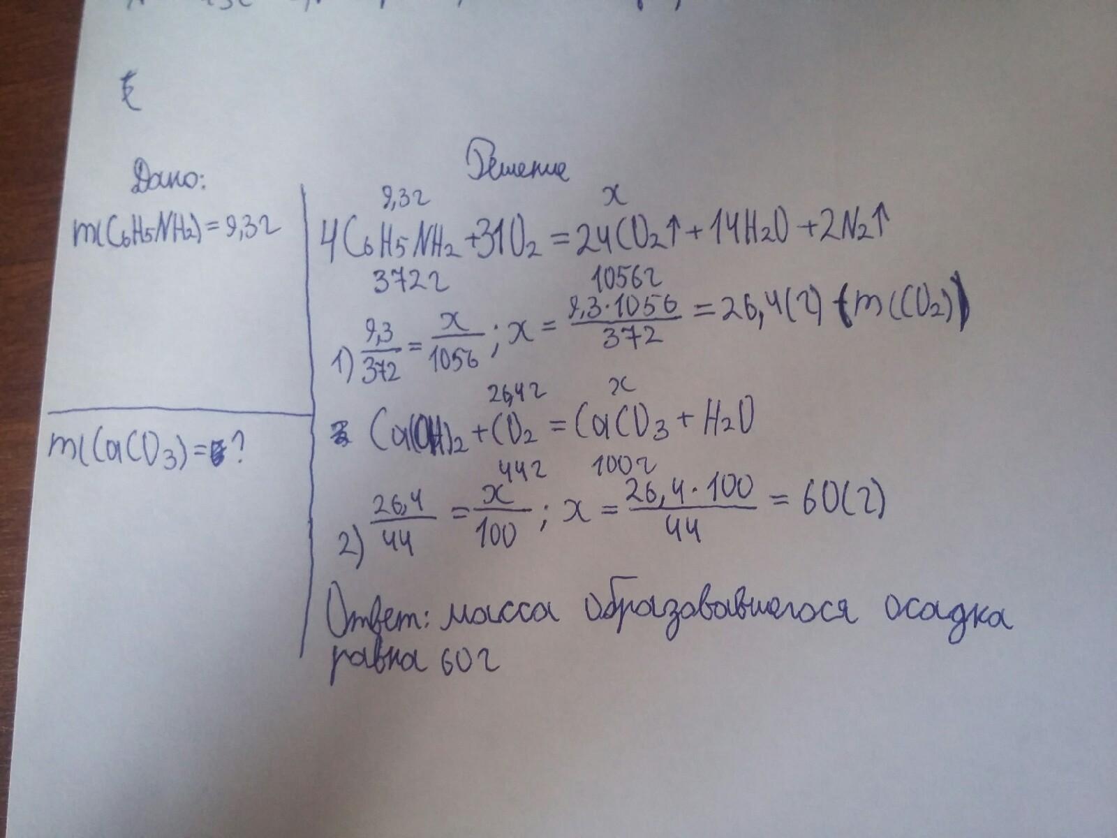
Анилин,массой 9,3 грамм сожгли.Полученный углекислый газ пропустили через известковую воду(СаОН)2,найдите массу образовавшегося осадка

Ответы

Ответ дал: garik113105
0

Если что-то не понятно, то просто напиши в комментах

Приложения:
Ответ дал: Mmilanio
0
Спасибо
Вас заинтересует