• Предмет: Математика
  • Автор: Аноним
  • Вопрос задан 11 лет назад

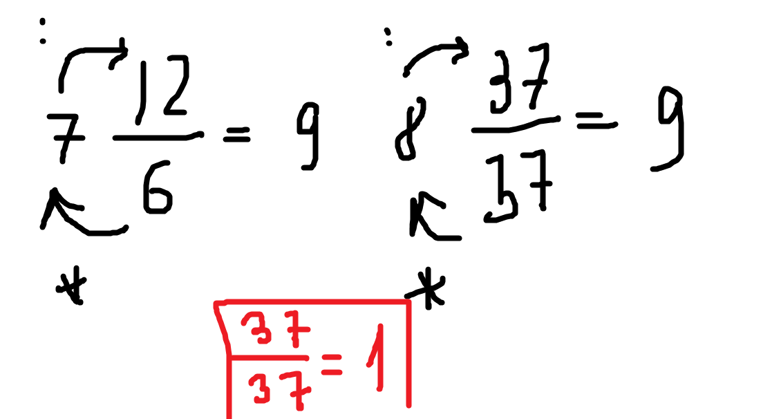
запишите числа 7 12/6 8 37/37 в виде натурального числа

Ответы

Ответ дал: 1234566789642
0
7; 2; 8 ; 1
Ответ дал: OlyaGr
0
и в первом и во втором, выражения будут равняться ровно 9
Приложения:
Вас заинтересует