• Предмет: Физика
  • Автор: johnkg04
  • Вопрос задан 8 лет назад

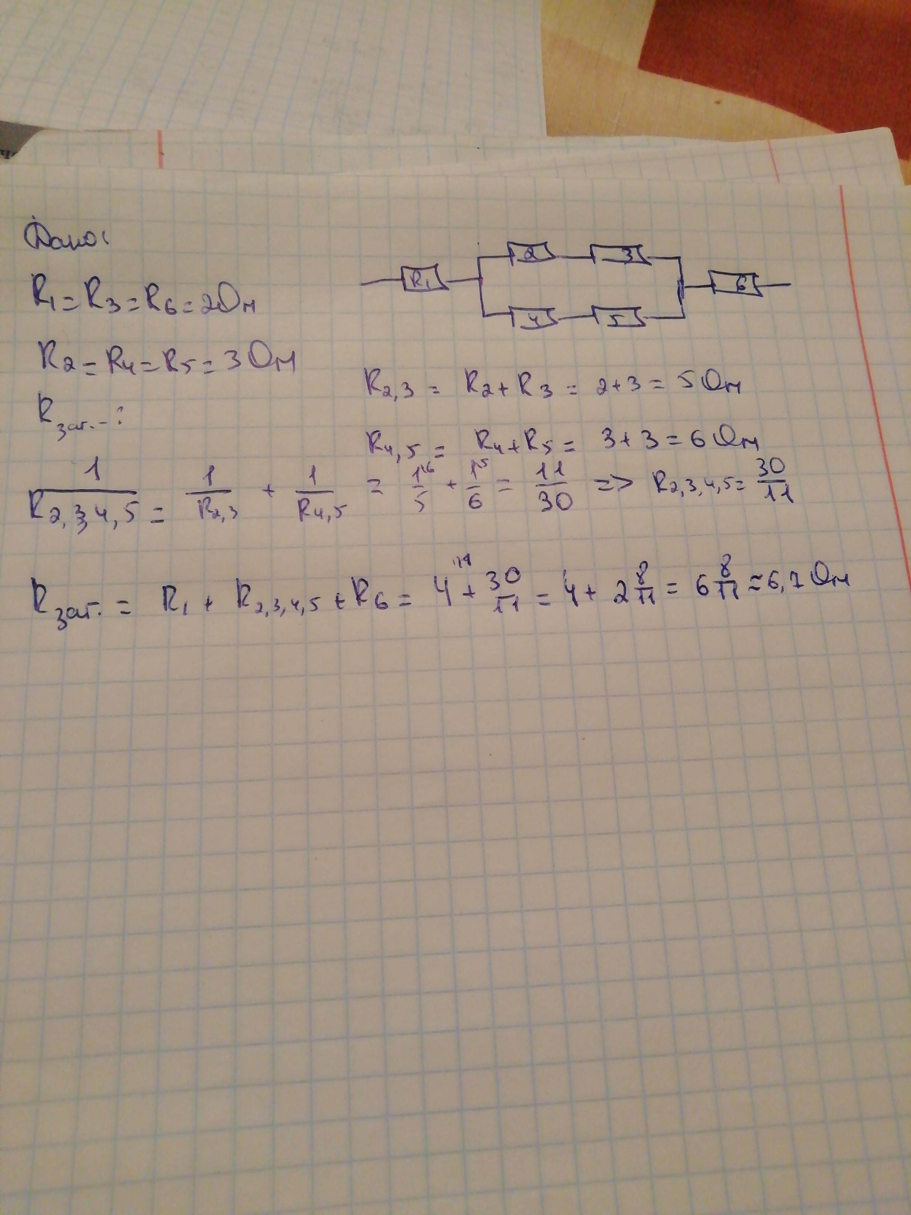
R1 = r3 = r6 = 2ом

R2 = R4 = R5 = 3ом

Rоб -?

Приложения:

Ответы

Ответ дал: Ira0807
0

Ответ:6,7 Ом

Объяснение: все объяснения на фото)

Приложения:
Ответ дал: johnkg04
0
Во я дэбил)) спасибо огромное!
Ответ дал: johnkg04
0
Можете объяснить, я просто только только вхожу в физику, почему в решении 2). Сопротивление R₄₅ = R₄ + R₅ = 3 + 3 = 6 (Ом) именно 3+3, а не 4+5?
Ответ дал: li20002005zzka
0

Ответ:6,7

Объяснение: R1,6=R1+R6=2+2=4-(Як послідовне з'єднання)

R2,3=R2+R3=3+2=5-(Як послідовне з'єднання)

R4,5=R4+R5=3+3=6-(Як паралельне з'єднання)

R2,3,4,5=R2,3×R4,5/R2,3+R4,5=5×6/5+6=30/11=2,7-(Як паралельне)

Rобщ=R1,6+R2,3,4,5=4+2,7=6,7-(Як послідовне)

Приложения:
Ответ дал: johnkg04
0
Можете объяснить, я просто только только вхожу в физику, почему в решении 2). Сопротивление R₄₅ = R₄ + R₅ = 3 + 3 = 6 (Ом) именно 3+3, а не 4+5?
Ответ дал: li20002005zzka
0
Потому что добавляються опори ,а не номер резистора .
Вас заинтересует