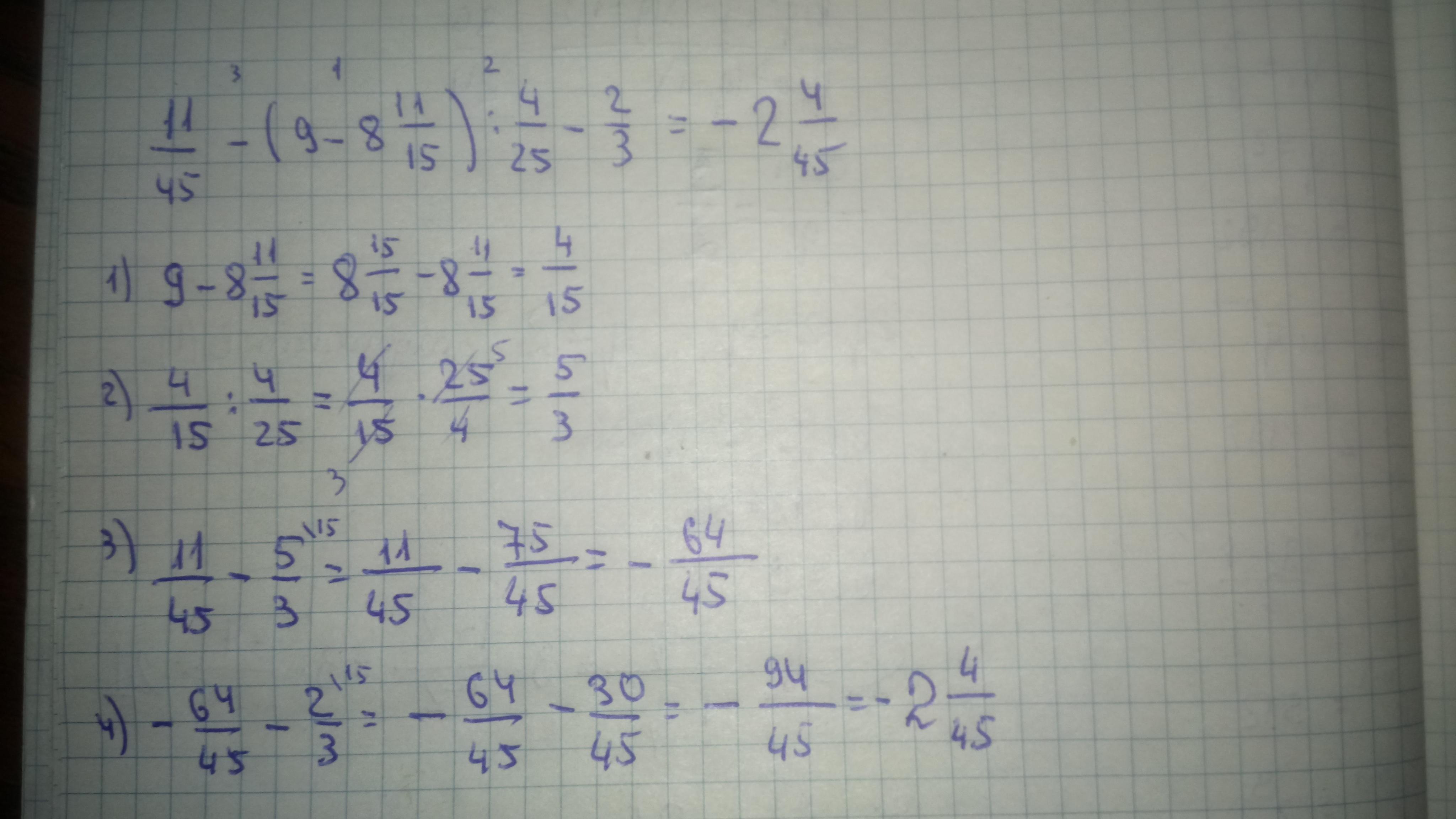
11/45-(9-8/11/15):4/25-2/3 ( помогите пожалуйста ) сейчас объясню дробь 11/ 45 вычитаем минус (9 целых минус 8 целых 11/15 скобка закрывается ) : на 4/25 минус 2/3 . Решите с решением по действиям ответ должен получиться - 2 целых 4/45 пожалуйста ну а заранее всем спасибо.
Ответы
Ответ дал:
0
Відповідь:
Покрокове пояснення: фото
Приложения:

Вас заинтересует
2 года назад
3 года назад
8 лет назад
8 лет назад
9 лет назад