• Предмет: Алгебра
  • Автор: gdh667
  • Вопрос задан 8 лет назад

срочно нужна пожалуйста пожалуйста​

Приложения:

Ответы

Ответ дал: alik1636
0

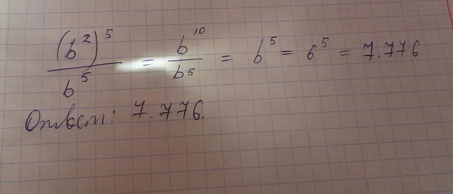
Решено по формулам степеней

Ответ: 7776.

Приложения:
Вас заинтересует