• Предмет: Математика
  • Автор: munya28
  • Вопрос задан 8 лет назад

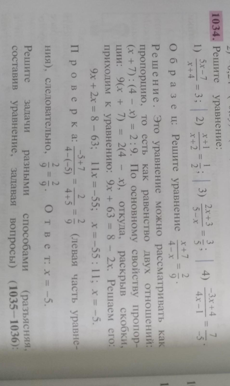
Помогите пожалуйста ❤️​

Приложения:

Ответы

Ответ дал: tatsach
0

Ответ:

Пошаговое объяснение:

1) 5х-7=3(х+4)

5х-7=3х+12

5х-3х=12+7

2х=19

Х=19:2

Х=9,5

2) 2(х+1)=х+2

2х+2=х+2

2х-х=2-2

Х=0

3) 5(2х+3)=3(5-х)

10х+15=15-3х

10х+3х=15-15

13х=0

Х=0:13

Х=0

4) - 5(-3х+4)=7(4х-1)

15х-20=28х-7

15х-28х=-7+20

-13х=13

Х=13:(-13)

Х=-1

Вас заинтересует