Ответы
Ответ дал:
0
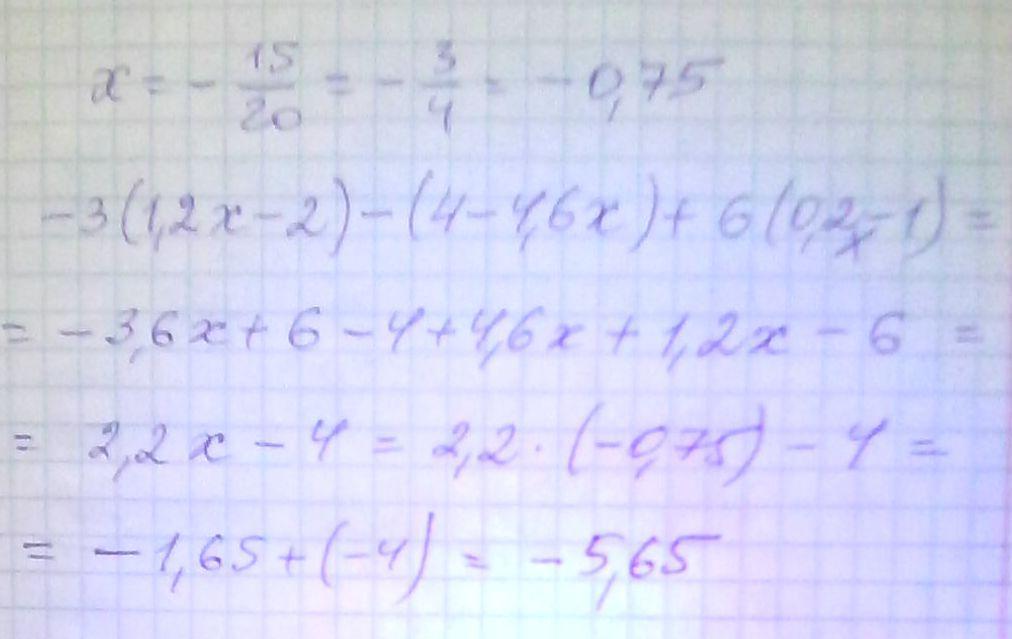
-3,6х+6-5+4,6х+1,2х-6
2,2х-5
2,2*(-0,75)=-1,65
-1,65-5=-6,65
Ответ дал:
0
в решении ОШИБКА
Ответ дал:
0
какая????
Ответ дал:
0
-3(1,2x-2)-(4-4,6x)+6(0,2x-1)=-3,6х+6-5 ...
Ответ дал:
0
-5 откуда?!
Ответ дал:
0
спасибо за указанную ошибку
Ответ дал:
0
= решение = решение = решение = решение = решение =
Приложения:

Вас заинтересует
2 года назад
2 года назад
3 года назад
3 года назад
8 лет назад
9 лет назад
9 лет назад