ДАЮ 1ОО БАЛЛОВ!!!
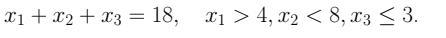
Определить, сколько решений в неотрицательных целых числах
имеет уравнение x1 + x2 + x3 = k, если переменные x1, x2, x3 удовлетворяют
заданным неравенствам
Дискретная математика, второй курс
Приложения:

Ответы
Ответ дал:
0
например
x1=10
x2=7
x3=3
вариантов может быть много надо все перебирать
x1=10
x2=7
x3=3
вариантов может быть много надо все перебирать
Ответ дал:
0
я правильно понимаю?!
Вас заинтересует
2 года назад
2 года назад
3 года назад
3 года назад
8 лет назад
8 лет назад
9 лет назад