Ответы
Ответ дал:
0
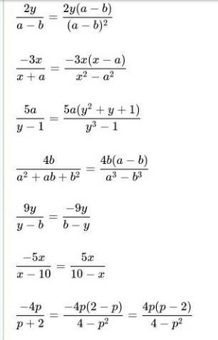
Тут ответ на задание, всегда пожалуйста!
Приложения:

Вас заинтересует
2 года назад
2 года назад
3 года назад
3 года назад
8 лет назад
9 лет назад