• Предмет: Алгебра
  • Автор: nikitadimooon
  • Вопрос задан 8 лет назад

даю 60 баллов


Решите систему уравнений способом подстановки:

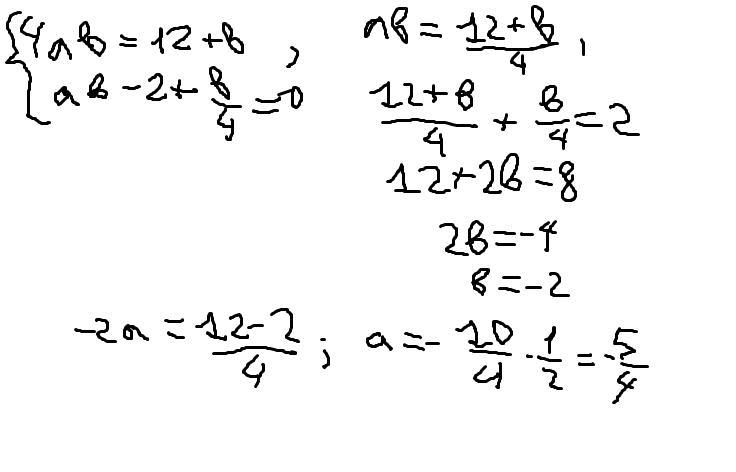
left { {4ad=12+b} atop {ab-2+frac{b}{4}=0 }} right.

Ответы

Ответ дал: solving05
0

Ответ:

Объяснение:

Решение приводится в приложении

Приложения:
Ответ дал: solving05
0
жду еще 30 балов
Ответ дал: nikitadimooon
0
спасибо
Ответ дал: nikitadimooon
0
извени я не знал что срезают половину баллов
Ответ дал: nikitadimooon
0
скажи как скину
Вас заинтересует