Ответы
Ответ дал:
0
Вот подробный ответ.Приложение photo math советую
Приложения:



Ответ дал:
0
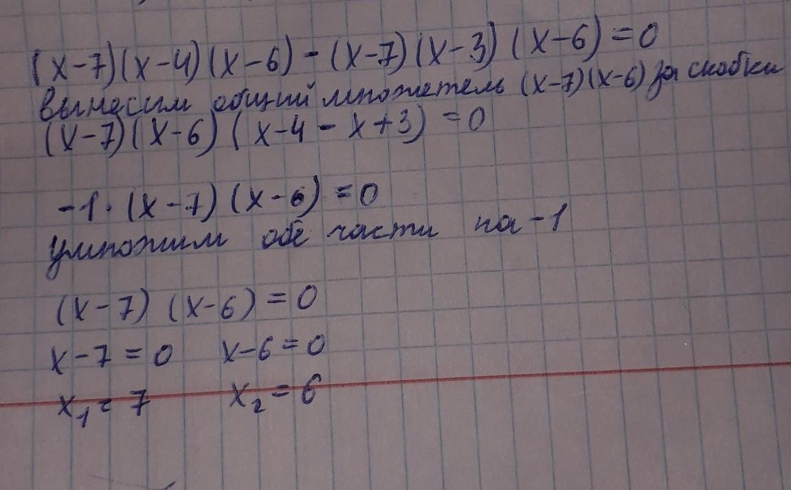
переносим всё в одну часть; выносом общий множитель; умножение обе части на-1; находим корни
Приложения:

Вас заинтересует
3 года назад
8 лет назад
8 лет назад
9 лет назад