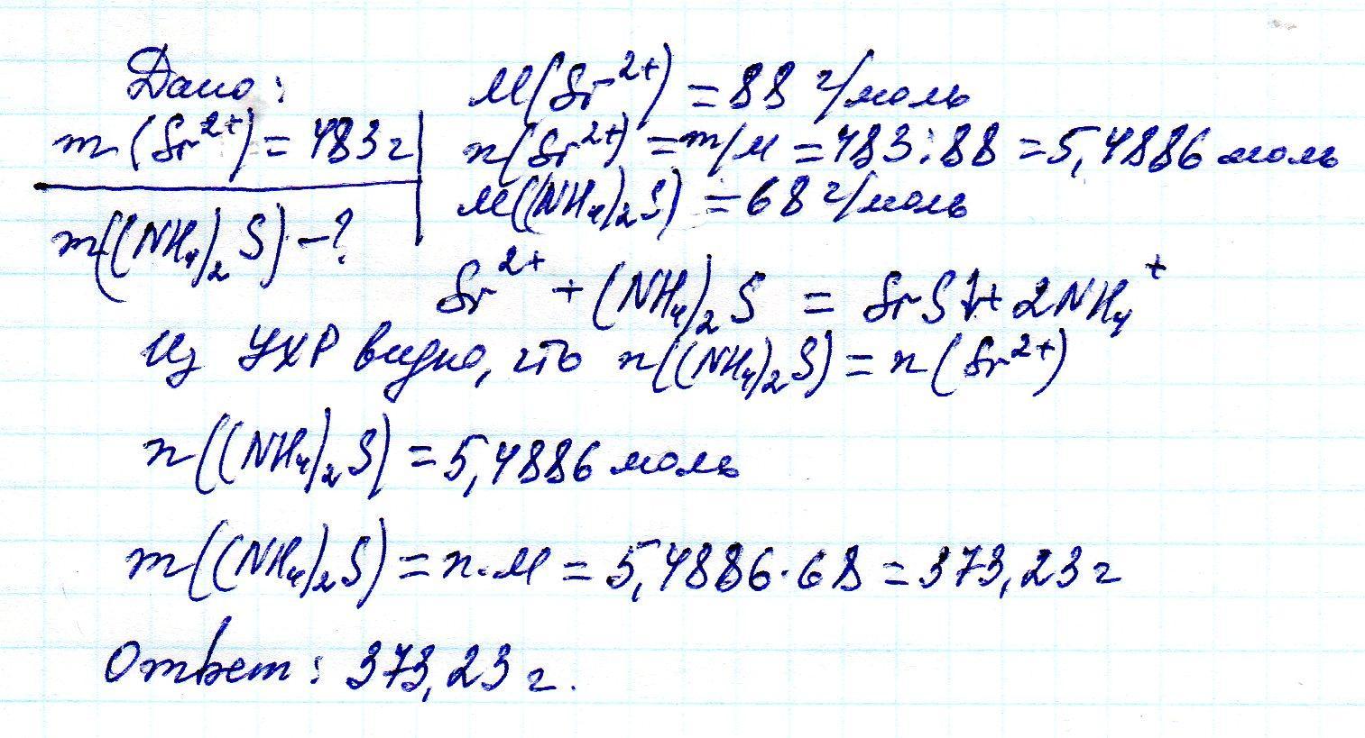
сточная вода загрязнена ионами стронция Sr2+ которые можно удалить осаждением в виде SrS. какую массу (NH4)2S надо ввести в воду, содержащую 483 г ионов стронция?
Ответы
Ответ дал:
0
Ответ: 373.23 г
Объяснение:
Приложения:

Вас заинтересует
2 года назад
3 года назад
3 года назад
8 лет назад
8 лет назад