• Предмет: Алгебра
  • Автор: nelyamovchannn
  • Вопрос задан 8 лет назад

Если можно, то с объяснением ;)

Приложения:

Ответы

Ответ дал: NNNLLL54
0

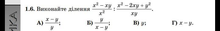
frac{x^2-xy}{x^2}:frac{x^2-2xy+y^2}{xy}=frac{x, (x-y)}{x^2}:frac{(x-y)^2}{xy}=frac{x, (x-y)}{x^2}cdot frac{xy}{(x-y)^2}=frac{y}{x-y}

Вас заинтересует