Ответы
Ответ дал:
0
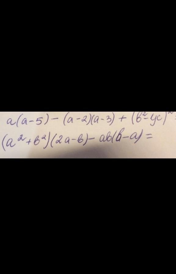
Ответ:
Пошаговое объяснение:
Приложения:

Вас заинтересует
2 года назад
3 года назад
8 лет назад
8 лет назад