Ответы
Ответ дал:
0
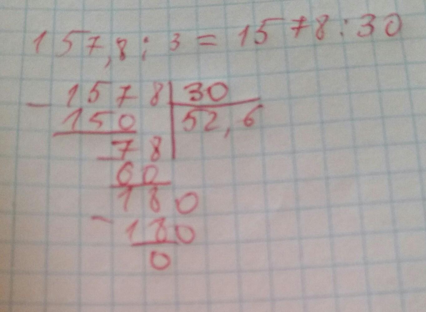
решён столбиком пример
Приложения:

Ответ дал:
0
У вас не так решено
Ответ дал:
0
Ответ : 52,6
Всего наилучшего!
Приложения:

Вас заинтересует
3 года назад
3 года назад
8 лет назад
8 лет назад
9 лет назад
9 лет назад