Ответы
Ответ дал:
0
решение на фото
2 корня
2 корня
Приложения:

Ответ дал:
0
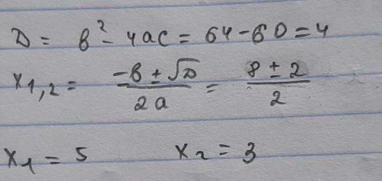
Ответ:
5; 3.
Объяснение:
х^2-8х+15=0
D = b^2 - 4ac = 8^2 - 4*1*15 = 64 - 60 = 4
x1 = (-b + sqrt(D)) / 2a = (8 + 2) / 2 = 5
x1 = (-b - sqrt(D)) / 2a = (8 - 2) / 2 = 3
Приложения:

Вас заинтересует
2 года назад
2 года назад
3 года назад
8 лет назад
8 лет назад
9 лет назад