Ведосепидист едит 2ч со скоростью 16 км/ч 3ч со скоростью 18 км/ч 2ч со скоростью 19 км/ч Найти среднюю скорость
Ответы
Ответ дал:
0
Надеюсь, все понятно написано:)
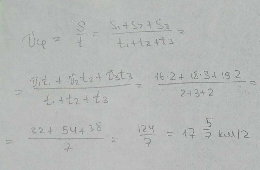
Такое решение встраивается из того, что средняя скорость - это все расстояние деленное на все время.
Приложения:

Ответ дал:
0
Ответ:
17 целых 5/7 км/ч
Пошаговое объяснение:
1) 2 * 16 = 32 (км) - первая часть пути
2) 3 * 18 = 54 (км) - вторая часть пути
3) 2 * 19 = 38 (км) - третья часть пути
4) 32 + 54 + 38 = 124 (км) - весь путь
5) 2 + 3 + 2 = 7 (ч) - все время
6) 124 : 7 = 17 целых 5/7 (км/ч) - средняя скорость
Приложения:

Вас заинтересует
2 года назад
2 года назад
3 года назад
8 лет назад
9 лет назад