Запишите арифметическое выражение на Паскале - как оно будет записано в программе.

Приложения:

Ответы

Ответ дал: Cleverman1003
0

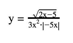
y:=sqrt(2*x-5)/(3*x*x*abs(-5*x));

Вас заинтересует