• Предмет: Алгебра
  • Автор: iraramm23
  • Вопрос задан 8 лет назад

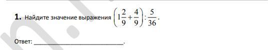
Помогите решить пожалуйста :

Приложения:

Ответы

Ответ дал: Krainagrzbowh
0

решение на фото.

.....

Приложения:
Ответ дал: iraramm23
0
Спасибо большое
Ответ дал: Krainagrzbowh
0
пожалуйста)
Вас заинтересует