• Предмет: Математика
  • Автор: elitakerimova2001
  • Вопрос задан 8 лет назад

ПОМОГИТЕ ПОЖАЛУЙСТА!!!!!

Приложения:

Ответы

Ответ дал: aliyas1
0

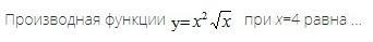
y =  {x}^{2}  sqrt{x}  \ y' = ( {x}^{2} )' times  sqrt{x}  +  {x}^{2}  times ( sqrt{x} )' \ y' = 2x times   sqrt{x}  +  {x}^{2}  times  frac{1}{2 sqrt{x} }  \  \ y'(4) = 2 times 4 times  sqrt{4}  +  {4}^{2}  times  frac{1}{2 times  sqrt{4} }  =  \  = 16 + 16 times  frac{1}{4}  = 16 + 4 = 20

Вас заинтересует