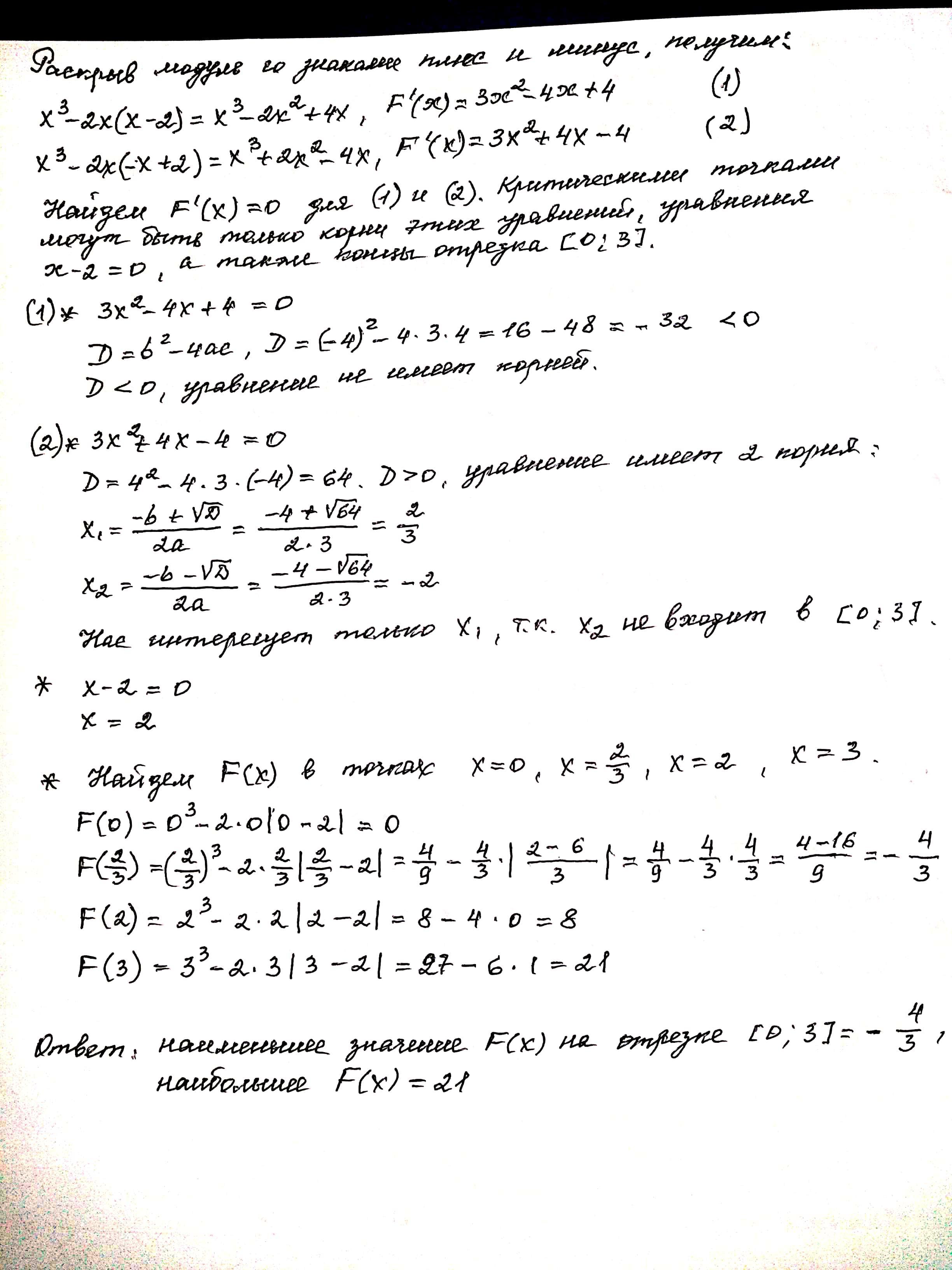
F(x)=x^3-2x|x-2| [0;3] наибольшее наименьшее значение функции. я серьезно,мне не нужен бред в ответах
Ответы
Ответ дал:
0
Ответ:
Объяснение: Решение в прикрепленном файле
Приложения:

Вас заинтересует
2 года назад
2 года назад
3 года назад
3 года назад
9 лет назад