• Предмет: Математика
  • Автор: nst134
  • Вопрос задан 8 лет назад

Срочно! Нужен только ответ!​

Приложения:

Ответы

Ответ дал: dimailinhcuk
0

Ответ:

х=143/4

Пошаговое объяснение:

Ответ дал: nl5382324
0

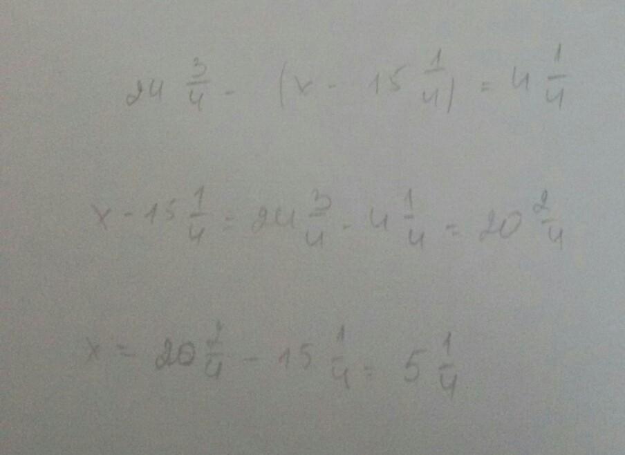
Вот, лови. если не видно напишу

Приложения:
Ответ дал: nst134
0
спасибо!!!!!!
Вас заинтересует