30 БАЛЛОВ!!! Помогите пожалуйста, главное объяснить что откуда.
Разложите многочлен на множители:
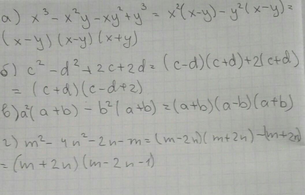
Ном. 34.15, все буквы
Приложения:

Ответы
Ответ дал:
0
Ответ:
Пошаговое объяснение:
Приложения:

Ответ дал:
0
в примере в) исправил ошибку в первой скобке+
Ответ дал:
0
ответ во вложении.......
Приложения:

Вас заинтересует
2 года назад
2 года назад
3 года назад
3 года назад
8 лет назад
8 лет назад
9 лет назад