• Предмет: Алгебра
  • Автор: pavek813
  • Вопрос задан 8 лет назад

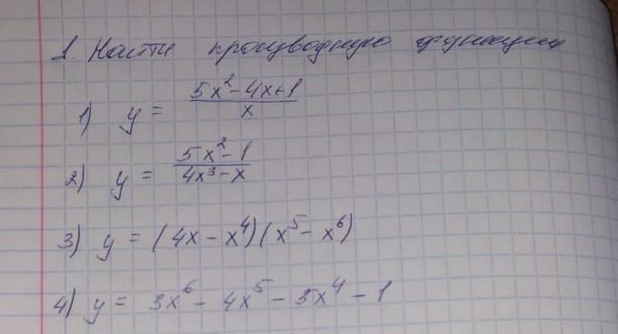
Алгебра 10-11 класс. Помогите с нахождением производной! 80 Баллов

Приложения:

Ответы

Ответ дал: NNNLLL54
0

1); ; y=frac{5x^2-4x+1}{x}=5x-4+x^{-1}\\y'=5-x^{-2}=5-frac{1}{x^2}\\2); ; y=frac{5x^2-1}{4x^3-x}\\y'=frac{10x, (4x^3-x)-(5x^2-1)(12x^2-1)}{(4x^3-x)^2}=frac{40x^4-10x^2-(60x^4-5x^2-12x^2+1)}{(4x^3-x)^2}=\\=frac{-20x^4-7x^2-1}{(4x^3-x)^2}\\3); ; y=(4x-x^4)(x^5-x^6)\\y'=(4-4x^3)(x^5-x^6)+(4x-x^4)(5x^4-6x^5)\\4); ; y=3x^6-4x^5-5x^4-1\\y'=18x^5-20x^4-20x^3

Ответ дал: solving05
0

Ответ:

Объяснение:

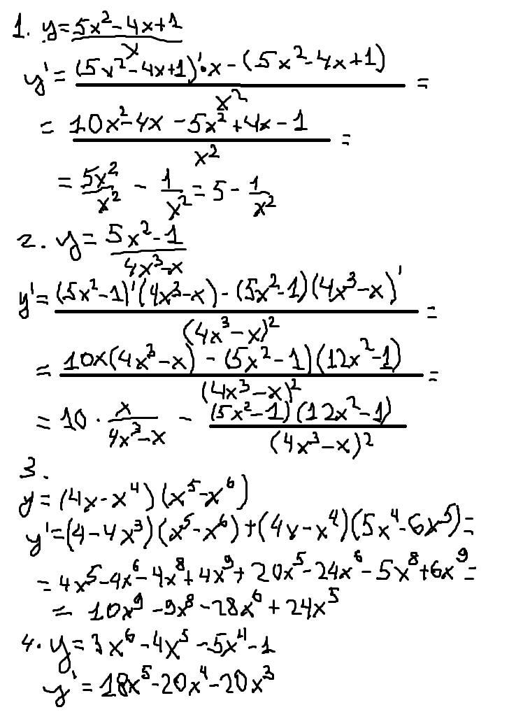
Решение в приложении

Приложения:
Вас заинтересует