• Предмет: Математика
  • Автор: nszim55
  • Вопрос задан 8 лет назад

Вот нужно прямо щас заранее спасибо ​

Приложения:

Ответы

Ответ дал: solving05
0

Ответ:

Пошаговое объяснение:

Решение в приложении

Приложения:
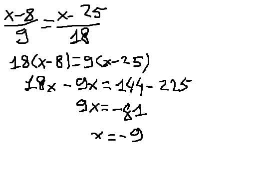
Ответ дал: Perelman1966
0

Ответ:

x=-9

Пошаговое объяснение:

Решай через пропорцию и составь уравнение 18x-144=9x-225

затем переносишь все в левую часть уравнения и получаешь 18x-144-9x+225=0 сокращаешь до этого результата 9x+81=0, тут уже самому не трудно догадаться какой корень, но все же поясню

9x=-81 |: 9

x=-9

Приложения:
Вас заинтересует