Ответы
Ответ дал:
0
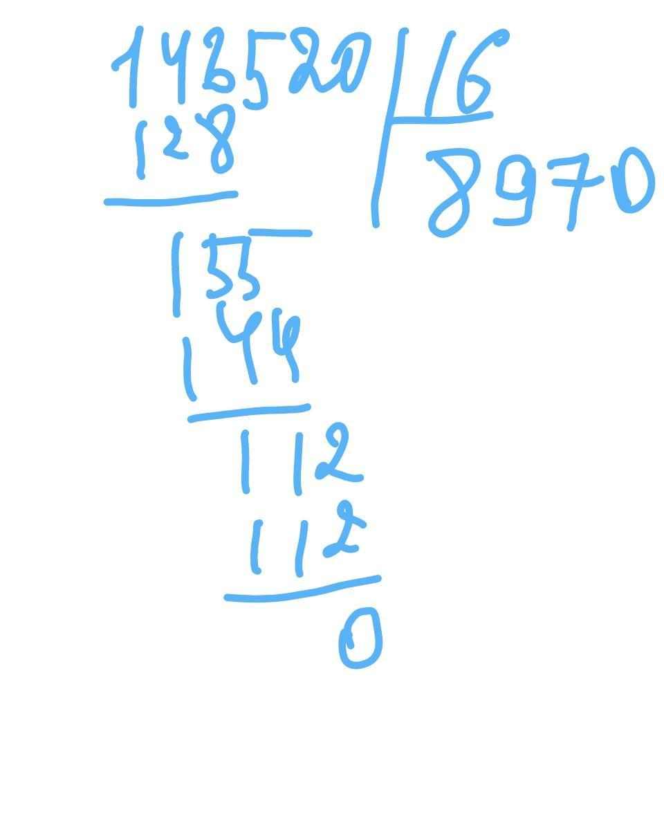
1) 8970
2)6070
3)2134
в столбик дели так:
сначало на десятки , а потом на единицы
Ответ дал:
0
Спасибо огромное
Ответ дал:
0
ааааааааааааааааааааааааааааааааааааааааааааааааааааа
Ответ дал:
0
☆>♡>☆>♡>☆<☆<☆>☆>☆>☆>☆>☆>☆
Приложения:



Ответ дал:
0
я те столбиком же решила
Ответ дал:
0
отметь как лучший пж срочно
Вас заинтересует
2 года назад
2 года назад
3 года назад
3 года назад
8 лет назад
8 лет назад
9 лет назад