• Предмет: Физика
  • Автор: evgenijmoroz20p839fw
  • Вопрос задан 8 лет назад

Пожалуйста, помогите решить задачу:
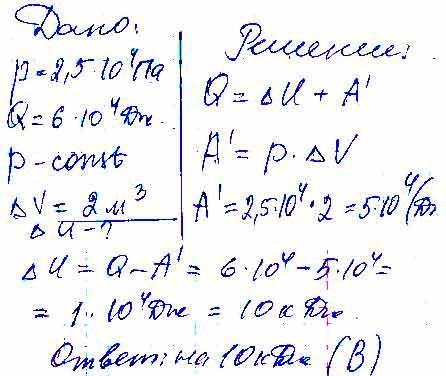
Газ находился под давлением 5000 Па. При сообщении газу 5 к Дж те плоты он расширился и объем увеличился на 1 м^3. На сколько изменилась внутренняя энергия?

Ответы

Ответ дал: AvgustXolod
0

Держи решение учись лучше.

Приложения:
Вас заинтересует