• Предмет: Химия
  • Автор: Linkamaus
  • Вопрос задан 8 лет назад

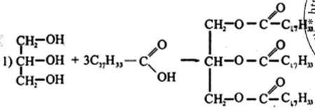
Преобразовать 4 уравнения реакций из структурной формулы в молекулярную:

Приложения:

Ответы

Ответ дал: mrvladimir2
0

Ответ:

Объяснение:

С₃Н₈O₃ + 3C₁₈H₃₄O₂ => C₅₇H₁₀₄O₆ + 3H₂O

C₅₇H₁₀₄O₆ + 3H₂ => C₅₇H₁₁₀O₆

C₅₇H₁₁₀O₆ + 3H₂O => C₃H₈O₃ + 3C₁₈H₃₆O₂

C₁₈H₃₆O₂ + NaOH => C₁₈H₃₅O₂Na + H₂O

Вас заинтересует