Ответы
Ответ дал:
0
Ответ:
Объяснение:
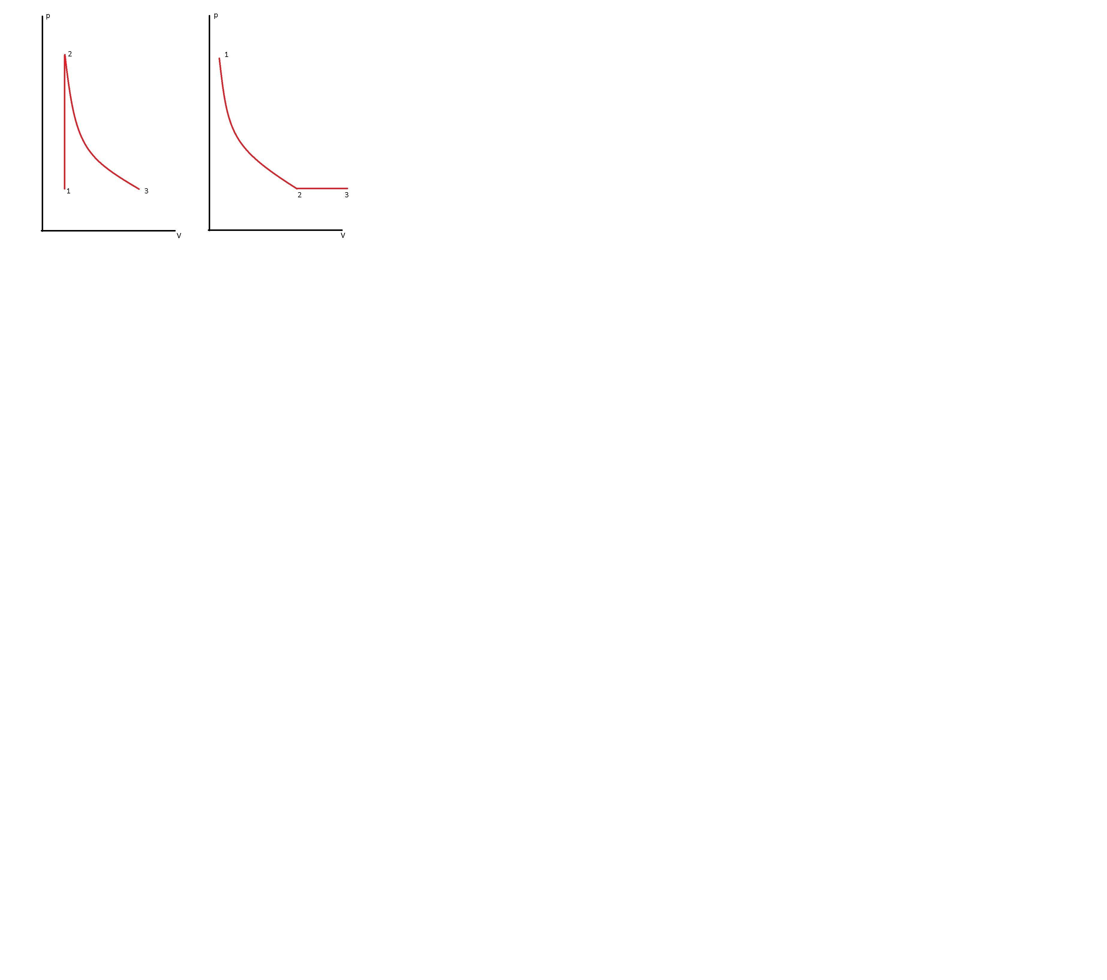
1) v=1 моль T1=T3 V3/V2=3
A12=0
Q12=ΔU=(3/2)*v*R*(T1-T2)
V2/T2=V3/T3
T1=3*T2
Q12=(3/2)*v*R*2*T1=3*v*R*T1
Для числового значения Q12 нужно значение Т1 или Т3...
==========
Смотри приложение
=======================
Приложения:

Ответ дал:
0
спасибо большое!
Вас заинтересует
2 года назад
2 года назад
3 года назад
3 года назад
8 лет назад
8 лет назад
9 лет назад