• Предмет: Математика
  • Автор: victoria2174
  • Вопрос задан 8 лет назад

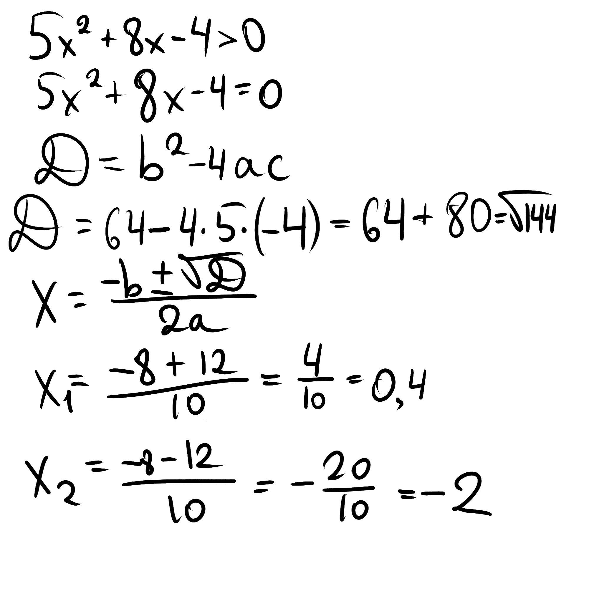
5х в квадрате + 8х - 4 >0
И найдите его наибольшее отрицательное и наименьшее положительное целые решения

Ответы

Ответ дал: CryFromTheHeart
0

///////////♥\\\\\

Приложения:
Вас заинтересует